迭代方差算法 #5

Open
opened 2022-05-27 07:11:31 +08:00 by 2437708352 · 9 comments
Owner

任务描述:使用前一次和当前循环计算得到的均值,以及前一次循环计算得到的方差,去推演现在的均值。
验收标准:对1.csv文件进行此操作,并将计算后数列进行展示。

任务描述:使用前一次和当前循环计算得到的均值,以及前一次循环计算得到的方差,去推演现在的均值。 验收标准:对1.csv文件进行此操作,并将计算后数列进行展示。
2437708352 added the
help wanted
question
labels 2022-05-27 07:11:38 +08:00
Author
Owner

c++源代码有问题,而且我觉得问题大得很:
1、老问题,设置初始值更新逻辑。
2、方差设置的位置,从现有逻辑不更改初值0是给他歪打正常了,但是绝对不是在构造函数里设置为零就不用管了的。
3、整个函数为什么要计算均值?之前已经计算过均值了啊?为什么要设置窗口数值。
@zynfly

c++源代码有问题,而且我觉得问题大得很: 1、老问题,设置初始值更新逻辑。 2、方差设置的位置,从现有逻辑不更改初值0是给他歪打正常了,但是绝对不是在构造函数里设置为零就不用管了的。 3、整个函数为什么要计算均值?之前已经计算过均值了啊?为什么要设置窗口数值。 @zynfly
Author
Owner

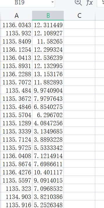
进度:初步完成,但是方差会无限增大。如图1所示。
结论:只要用迭代均值去算迭代方差,那就会变大。公式证明如图2所示,增大速度主要取决于迭代平均值的波动和窗口大小,均为正相关关系。
解决方案:改下计算公式,然后然数据看起来合理点。

进度:初步完成,但是方差会无限增大。如图1所示。 结论:只要用迭代均值去算迭代方差,那就会变大。公式证明如图2所示,增大速度主要取决于迭代平均值的波动和窗口大小,均为正相关关系。 解决方案:改下计算公式,然后然数据看起来合理点。
Author
Owner

进度:修正了无限增长的问题,但是具体计算公式该怎么改我还没做。

进度:修正了无限增长的问题,但是具体计算公式该怎么改我还没做。
2437708352 added
enhancement
and removed
help wanted
question
labels 2022-05-30 17:20:31 +08:00
Author
Owner

进度:把公式改完了,采用了孙志伟CSDN连接给的公式(我自己证明过是对的),已完成。
情况说明:之前其实也在实验这个公式,但是我发现方差一直是0,结果后来发现是有一行代码我嫌弃太长就换行,结果换下去的没给我加上去。。。。。

进度:把公式改完了,采用了孙志伟CSDN连接给的公式(我自己证明过是对的),已完成。 情况说明:之前其实也在实验这个公式,但是我发现方差一直是0,结果后来发现是有一行代码我嫌弃太长就换行,结果换下去的没给我加上去。。。。。
Author
Owner

公式实现网址:https://blog.csdn.net/wuqinlong/article/details/78432574
我自己推理过程主要就是跟着他走一遍,我确认过每一步都是对的,这里就不贴图了。

公式实现网址:https://blog.csdn.net/wuqinlong/article/details/78432574 我自己推理过程主要就是跟着他走一遍,我确认过每一步都是对的,这里就不贴图了。

任务描述:使用前一次和当前循环计算得到的均值,以及前一次循环计算得到的方差,去推演现在的均值。
验收标准:对1.csv文件进行此操作,并将计算后数列进行展示。

这里面提到的CSV文件,可以挂到这里吗?

> 任务描述:使用前一次和当前循环计算得到的均值,以及前一次循环计算得到的方差,去推演现在的均值。 > 验收标准:对1.csv文件进行此操作,并将计算后数列进行展示。 这里面提到的CSV文件,可以挂到这里吗?
Author
Owner

csv文件这里上传不了,不过那个csv文件就是您之前发给我的那个,用于测试的实验列是G1.TTXD_1

csv文件这里上传不了,不过那个csv文件就是您之前发给我的那个,用于测试的实验列是G1.TTXD_1
Author
Owner

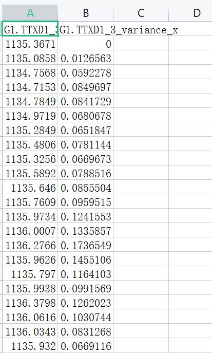
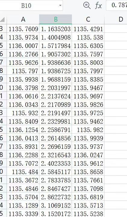
git暂时不支持csv和excel格式文件,因此根据尹博要求,上传原始文件截图,具体如下所示,实验数据列为G1.ttxd_1

git暂时不支持csv和excel格式文件,因此根据尹博要求,上传原始文件截图,具体如下所示,实验数据列为G1.ttxd_1
Author
Owner

任务描述:使用前一次和当前循环计算得到的均值,以及前一次循环计算得到的方差,去推演现在的均值。
验收标准:对1.csv文件进行此操作,并将计算后数列进行展示。

这里面提到的CSV文件,可以挂到这里吗?

git暂时不支持csv和excel格式文件,因此根据尹博要求,上传原始文件截图,具体如下所示,实验数据列为G1.ttxd_1

> > 任务描述:使用前一次和当前循环计算得到的均值,以及前一次循环计算得到的方差,去推演现在的均值。 > > 验收标准:对1.csv文件进行此操作,并将计算后数列进行展示。 > > 这里面提到的CSV文件,可以挂到这里吗? git暂时不支持csv和excel格式文件,因此根据尹博要求,上传原始文件截图,具体如下所示,实验数据列为G1.ttxd_1
Sign in to join this conversation.
2 Participants
Notifications
Due Date
No due date set.
Dependencies

No dependencies set.

Reference: 2437708352/python_ray#5
No description provided.